我校地理科学学院/灾害风险管理研究院在《Atmospheric Research》上发表题为“Insight from CMIP6 SSP-RCP scenarios for future drought characteristics in China”的科学论文。地理科学学院苏布达教授和黄金龙讲师为共同第一作者,地理科学学院姜彤教授和国家气候中心翟建青副研究员为通讯作者。南京信息工程大学王艳君副教授、高妙妮讲师、温姗姗讲师等为共同作者。
干旱是最常见的天气驱动的自然灾害之一。全球大多气候区已经出现了变干的趋势,未来随着全球升温,干旱也将会进一步加剧。中国易受干旱的影响,1984-2018年年均干旱直接经济损失达340亿元(2018年市值),年均农作物受影响面积超20万平方公里,因此未来中国干旱的演变特征研究尤为重要。
2010年,IPCC 考虑到协同气候变化科学、影响和脆弱性与适应、气候变化减缓等闭环研究,推出了考虑社会经济发展状况的共享社会经济路径(SSP)情景。现在通常使用5个SSPs路径(SSP1-SSP5),包括可持续发展路径SSP1,中间路径SSP2, 区域竞争路径SSP3,不均衡路径SSP4,传统化石燃料为主的路径SSP5。2015年第六次国际耦合模式比较计划(CMIP6)启动,采用共享社会经济路径和典型浓度路径组合的新情景,新的情景中包含了SSP1-1.9、SSP1-2.6、SSP4-3.4、SSP2-4.5、SSP4-6.0、SSP3-7.0和SSP5-8.5等7种从低到高辐射强迫情景。本项研究,采用此7种情景,借助标准化降水蒸散指数(SPEI 12),分析了中国未来干旱的可能变化。研究发现:相比于CMIP5,CMIP6能更好地捕捉中国干旱演变特征,而这与CMIP6气候模式中物理过程表征的改善息息相关。未来中国干旱频次将减少,但干旱的持续时间和强度都会增加。区域上,中国西北流域和长江中游干旱的频次和持续时间都将增加。
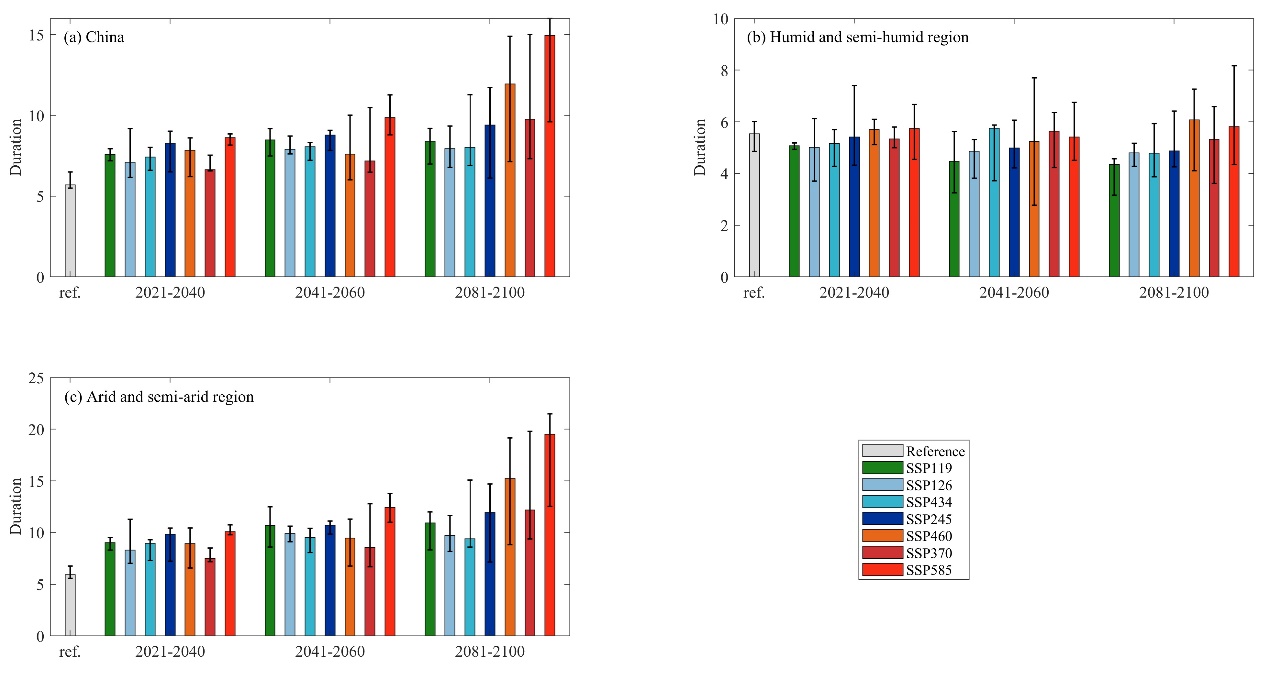
此外,从7个情景对比结果来看,21世纪近期和中期,除SSP5-8.5外,从SSP1-1.9、SSP1-2.6、SSP4-3.4、SSP2-4.5到SSP4-6.0、SSP3-7.0情景,随着温室气体排放浓度的增加,降水量、潜在蒸散发和干旱持续时间都呈现下降的趋势(图1、2)。这与之前CMIP5的结论有所差异,这是由于CMIP5中采用了RCP2.6、RCP4.5和RCP8.5情景,而其中高排放RCP8.5情景(极不可能的路径)总是表现出较高的干旱发生频次、更长的干旱持续时间、更强的干旱强度、更多的降水和更高的潜在蒸散发。因此,研究团队建议未来气候变化或气候风险研究,特别是21世纪近期和中期的研究应引入更多 “可能的未来”情景(SSP1-1.9、SSP1-2.6、SSP4-3.4、SSP2-4.5、SSP4-6.0、SSP3-7.0和SSP5-8.5)。
研究论文发表地址:
https://www.sciencedirect.com/science/article/pii/S0169809520313120

图1 不同SSP-RCP情景下21世纪前中后期中国(a)、湿润半湿润(b)和干旱半干旱区(c)降水量变化(基准期1995-2014)

图2不同SSP-RCP情景下21世纪前中后期中国(a)、湿润半湿润(b)和干旱半干旱区(c)干旱持续时间变化(基准期1995-2014)
